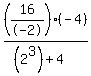
SOLUTION: I have a math problem that I am trying to solve. 16/ (-2) x (-4) this is the top row, it is division of real numbers 2 to the third power + 4 this is the bottom line I did

Algebra ->  Real-numbers -> SOLUTION: I have a math problem that I am trying to solve. 16/ (-2) x (-4) this is the top row, it is division of real numbers 2 to the third power + 4 this is the bottom line I did      Log On


   



Question 68726: I have a math problem that I am trying to solve.
16/ (-2) x (-4) this is the top row, it is division of real numbers
2 to the third power + 4 this is the bottom line
I did 16 divided by 2=8 x 4=32 as my top line then I got 8+4 as my bottom line
but that is not even. I also tried 16 divided by 8=2 as my top line and got 12 as my bottom line.
What am I doing wrong?

Answer by ptaylor(2198) About Me  (Show Source):
You can put this solution on YOUR website!
IF WHAT I HAVE BELOW IS YOUR PROBLEM THEN YOU ARE CORRECT!!!! GOOD WORK!!! THE ANSWER IS 32%2F12 OR 8%2F3 or 2.66667 WHY DOES THE ANSWER HAVE TO BE EVEN??
%2816%2F-2%29%28-4%29%2F%28%282%5E3%29%2B4%29

Hope this helps---ptaylor