SOLUTION: A=2(pi)(a)^2 solve for a. Sorry I didn't know what column to put this under. I keep getting square root of A/2(pi)=a??

Algebra ->  Real-numbers -> SOLUTION: A=2(pi)(a)^2 solve for a. Sorry I didn't know what column to put this under. I keep getting square root of A/2(pi)=a??      Log On


   



Question 650706: A=2(pi)(a)^2 solve for a. Sorry I didn't know what column to put this under. I keep getting square root of A/2(pi)=a??
Answer by MathTherapy(10810) About Me  (Show Source):
You can put this solution on YOUR website!
A=2(pi)(a)^2 solve for a. Sorry I didn't know what column to put this under. I keep getting square root of A/2(pi)=a??

That's partially correct!! The denominator needs to be rationalized!!

A+=+2%2Api%2Aa%5E2

A%2F%282%2Api%29+=+a%5E2

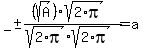
_%2B-sqrt%28A%2F%282%2Api%29%29+=+sqrt%28a%5E2%29 ------ Taking square root of each side of equation

_%2B-+%28sqrt%28A%29%29%2Fsqrt%282%2Api%29+=+a

---- Rationalizing denominator

_%2B-+%28sqrt%28A+%2A+2+%2A+pi%29%29%2F%28sqrt%282%2Api%2A2%2Api%29%29+=+a

_%2B-+%28sqrt%282A+%2A+pi%29%29%2F%28sqrt%282%5E2%2Api%5E2%29%29+=+a

highlight_green%28_%2B-+%28sqrt%282A+%2A+pi%29%29%2F%282+%2A+pi%29+=+a%29

Send comments and “thank-yous” to “D” at MathMadEzy@aol.com