SOLUTION: if the product of root a and root b is irrational prove that thier sum is also irrational

Algebra ->  Real-numbers -> SOLUTION: if the product of root a and root b is irrational prove that thier sum is also irrational      Log On


   



Question 447435: if the product of root a and root b is irrational prove that thier sum is also irrational
Answer by Edwin McCravy(20064) About Me  (Show Source):
You can put this solution on YOUR website!
Given hypothesis:  sqrt%28a%29%2Asqrt%28b%29 is irrational.

To prove sqrt%28a%29%2Bsqrt%28b%29 is irrational

For the sake of contradiction, let's assume

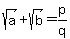
sqrt%28a%29%2Bsqrt%28b%29 is rational and equal to p%2Fq where

p and q are relatively prime positive integers.

sqrt%28a%29%2Bsqrt%28b%29=p%2Fq

Square both sides:

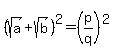
%28sqrt%28a%29%2Bsqrt%28b%29%29%5E2=%28p%2Fq%29%5E2

a+%2B+2sqrt%28a%29sqrt%28b%29+%2B+b=p%5E2%2Fq%5E2

Solve for sqrt%28a%29sqrt%28b%29

2sqrt%28a%29sqrt%28b%29=p%5E2%2Fq%5E2-a-b

sqrt%28a%29sqrt%28b%29=%28p%5E2%2Fq%5E2-a-b%29%2F2

The expression on the right is rational
by the closure properties of addition and 
multiplication of rational numbers.  There is
no need to simplify it unless you just want to.

So we have reached a contradiction to the
given hypothesis.

Therefore the assumption that the sum of the
square roots of a and b is rational is false.

Therefore the sum of the two square roots is irrational.

Edwin