SOLUTION: could someone please show me how to do these? 1. multiply -4 x(-9) x(-6) 2.multiply (-3)(6) 3.rewrite as division as multiplication 3n+94/-47=3n+94 and there is a dot after th

Algebra ->  Real-numbers -> SOLUTION: could someone please show me how to do these? 1. multiply -4 x(-9) x(-6) 2.multiply (-3)(6) 3.rewrite as division as multiplication 3n+94/-47=3n+94 and there is a dot after th      Log On


   



Question 416279: could someone please show me how to do these?
1. multiply -4 x(-9) x(-6)
2.multiply (-3)(6)
3.rewrite as division as multiplication 3n+94/-47=3n+94 and there is a dot after the 4 (in center)

Answer by MathLover1(20850) About Me  (Show Source):
You can put this solution on YOUR website!
remember the rule:

1.
(+)(-)=(-)
Consider the example 3(-4), in which the multiplicand is negative. This means we are to add -4 three times; that is, 3(-4) is equal to (-4) + (-4) + (-4), which is equal to -12. For example, if we have three 4-dollar debts, we owe 12 dollars in all.
2.
(-)(+)=(-)........when the multiplier is negative, product will be negative too
3.
(+)(+)=(+).........when both the multiplier and the multiplicand is positive, product will be positive too
4.
(-)(-)=(+).........when both the multiplier and the multiplicand is negative, product will be positive

so, you will have:
1. multiply -4+%2A%28-9%29+%2A%28-6%29=36%2A%28-6%29=-216

2.multiply %28-3%29%286%29=-18

3.rewrite as division as multiplication

+%283n%2B94%29%2F-4.7=3n%2B94..... and there is a dot after the 4 (in center)

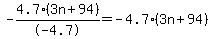
+%283n%2B94%29%2F-4.7=3n%2B94.........multiply equation by (-4.7)

+-4.7%283n%2B94%29%2F-4.7=-4.7%283n%2B94%29

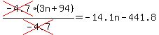
cross%28-4.7%29%283n%2B94%29%2Fcross%28-4.7%29=-14.1n-441.8

3n%2B94=-14.1n-441.8

3n%2B14.1n=-441.8-94

17.1n=-535.8

n=-535.8%2F17.1

n=-31.33