SOLUTION: Find the discriminant and determine the number of real solutions. Then solve. (I did it but i have a feeling its wrong. Here's the question) 4x^2+9=2x My work: 4x^2-2x+9=0

Algebra ->  Real-numbers -> SOLUTION: Find the discriminant and determine the number of real solutions. Then solve. (I did it but i have a feeling its wrong. Here's the question) 4x^2+9=2x My work: 4x^2-2x+9=0      Log On


   



Question 380420: Find the discriminant and determine the number of real solutions. Then solve.
(I did it but i have a feeling its wrong. Here's the question)
4x^2+9=2x
My work: 4x^2-2x+9=0
a=4, b=-2, c=9
Discriminant Formula: b^2-4ac
(-2)^2-4(4)(9)
4-144=-140
-140<0
THE EQUATION THEREFORE HAS 0 REAL SOLUTIONS
Quadratic formula: x=-b±squareroot of b^2-4ac/2a
x=-(-2)± squareroot of (-2)^2-4(4)(9)/2(4)
x=2± squareroot of 4-144/8
x=2± squareroot of -140/8
x=-2/8±i squareroot of 140/8
Simplifies as: x=1/4±i squaretoot of 35/2


Answer by jim_thompson5910(35256) About Me  (Show Source):
You can put this solution on YOUR website!
You have the correct discriminant. Let's solve for 'x'.


4x%5E2%2B9=2x Start with the given equation.


4x%5E2-2x%2B9=0 Subtract 2x from both sides.


Notice we have a quadratic equation in the form of ax%5E2%2Bbx%2Bc where a=4, b=-2, and c=9


Let's use the quadratic formula to solve for x


x+=+%28-b+%2B-+sqrt%28+b%5E2-4ac+%29%29%2F%282a%29 Start with the quadratic formula


x+=+%28-%28-2%29+%2B-+sqrt%28+%28-2%29%5E2-4%284%29%289%29+%29%29%2F%282%284%29%29 Plug in a=4, b=-2, and c=9


x+=+%282+%2B-+sqrt%28+%28-2%29%5E2-4%284%29%289%29+%29%29%2F%282%284%29%29 Negate -2 to get 2.


x+=+%282+%2B-+sqrt%28+4-4%284%29%289%29+%29%29%2F%282%284%29%29 Square -2 to get 4.


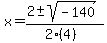
x+=+%282+%2B-+sqrt%28+4-144+%29%29%2F%282%284%29%29 Multiply 4%284%29%289%29 to get 144


x+=+%282+%2B-+sqrt%28+-140+%29%29%2F%282%284%29%29 Subtract 144 from 4 to get -140


x+=+%282+%2B-+sqrt%28+-140+%29%29%2F%288%29 Multiply 2 and 4 to get 8.


x+=+%282+%2B-+2i%2Asqrt%2835%29%29%2F%288%29 Simplify the square root (note: If you need help with simplifying square roots, check out this solver)


x+=+%282%2B2i%2Asqrt%2835%29%29%2F%288%29 or x+=+%282-2i%2Asqrt%2835%29%29%2F%288%29 Break up the expression.


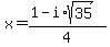
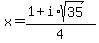
x+=+%281%2Bi%2Asqrt%2835%29%29%2F4 or x+=+%281-i%2Asqrt%2835%29%29%2F4 Reduce


So the solutions are x+=+%281%2Bi%2Asqrt%2835%29%29%2F4 or x+=+%281-i%2Asqrt%2835%29%29%2F4