1.prove that √3 is irrational
Assume for contradiction that
equals a common fraction
reduced to lowest terms.
That is, suppose there are integers p and q
with no common factors other than 1 such that
Square both sides:
Multiply both sides by
q is either even or odd. Suppose q is even.
Then q^2 is even. Then 3q^2 is even. Therefore
p^2 is even, and therefore p is even. That
contradicts the fact that
was reduced
to lowest terms, since if both were even they
would have factor 2 in common.
So we have ruled out q being even, So let's
suppose q is odd. Then q^2 is odd. Therefore
3q^2 is odd. Therefore p^2 is odd. Therefore
p is odd. So there must exist non-negative
integers m and n such that
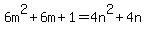
p = 2n+1 and q = 2m+1. Substituting in
Squaring these out:
Divide through by 2:
The left side is odd but the
right side is even. That cannot
be, so q is not odd.
q cannot be even or odd, which cannot
be, so
is irrational.
2.prove that if 0 < b < a and n is a positive integer,then
a. 
is given,
therefore
by a factoring theorem
Since the second parentheses contains only positive terms,
which is the same as
b.
where
is the positive nth root
This follows by replacing
and
respectively with
and
in part a.
c. 
by part a. This is equivalent to:
Divide through by the positive number
which is equivalent to
Edwin