SOLUTION: Find a polynomial with integer coefficients that satisfies the given conditions. R has degree 4 and zeros 1 − 2i and 5, with 5 a zero of multiplicity 2. R(x)=

Algebra ->  Real-numbers -> SOLUTION: Find a polynomial with integer coefficients that satisfies the given conditions. R has degree 4 and zeros 1 − 2i and 5, with 5 a zero of multiplicity 2. R(x)=      Log On


   



Question 1201306: Find a polynomial with integer coefficients that satisfies the given conditions.
R has degree 4 and zeros 1 − 2i and 5, with 5 a zero of multiplicity 2.
R(x)=

Answer by math_helper(2461) About Me  (Show Source):
You can put this solution on YOUR website!

Complex roots come in conjugate pairs, so the unspecified zero is 1 + 2i
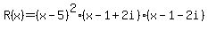
+R%28x%29+=+%28x-5%29%5E2+%28x-1%2B2i%29%28x-1-2i%29+
+highlight%28+R%28x%29+=+x%5E4-12x%5E3%2B50x%5E2-100x+%2B+125+%29+

Details:
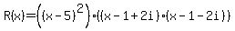
+R%28x%29+=+%28%28x-5%29%5E2%29++%28%28x-1%2B2i%29%28x-1-2i%29%29+
Muliplying each factor (shown within paren's):
+R%28x%29+=+%28x%5E2-10x%2B25%29%28x%5E2-2x%2B5%29+
Now multiplying the two trinomials:
+R%28x%29+=+%28x%5E4-2x%5E3%2B5x%5E2-10x%5E3%2B20x%5E2-50x%2B25x%5E2-50x%2B125%29+
Combining like terms:
+R%28x%29+=+x%5E4-12x%5E3%2B50x%5E2-100x%2B125+