SOLUTION: The sum of a number and its reciprocal is 34/15 Find the numbers Smaller number: Larger number
Algebra
->
Real-numbers
-> SOLUTION: The sum of a number and its reciprocal is 34/15 Find the numbers Smaller number: Larger number
Log On
Algebra: Real numbers, Irrational numbers, etc
Section
Solvers
Solvers
Lessons
Lessons
Answers archive
Answers
Click here to see ALL problems on real-numbers
Question 1166683
:
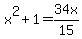
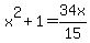
The sum of a number and its reciprocal is
34/15
Find the numbers
Smaller number:
Larger number
Found 2 solutions by
josgarithmetic, greenestamps
:
Answer by
josgarithmetic(39620)
(
Show Source
):
You can
put this solution on YOUR website!
.
.
Answer by
greenestamps(13200)
(
Show Source
):
You can
put this solution on YOUR website!
The number and its reciprocal are 3/5 and 5/3.