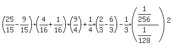
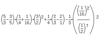
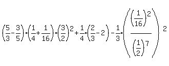
SOLUTION: (5/3-3/5)•(1/4+1/16)•(3/2)^2+1/4•(2/3-2)-1/3•[(1/16)^2:(1/2)^7]^2
Algebra
->
Real-numbers
-> SOLUTION: (5/3-3/5)•(1/4+1/16)•(3/2)^2+1/4•(2/3-2)-1/3•[(1/16)^2:(1/2)^7]^2
Log On
Algebra: Real numbers, Irrational numbers, etc
Section
Solvers
Solvers
Lessons
Lessons
Answers archive
Answers
Click here to see ALL problems on real-numbers
Question 1105521
:
(5/3-3/5)•(1/4+1/16)•(3/2)^2+1/4•(2/3-2)-1/3•[(1/16)^2:(1/2)^7]^2
Answer by
Edwin McCravy(20065)
(
Show Source
):
You can
put this solution on YOUR website!
Edwin