SOLUTION: A student was asked to solve the following problem: {{{ x- sqrt( 17-4x ) =3 }}} and provided the following solution. (Step 1) {{{ (x- sqrt( 17-4x ))^2=3^2 }}} (Step 2)

Algebra ->  Quadratic Equations and Parabolas  -> Quadratic Equations Lessons  -> Quadratic Equation Lesson -> SOLUTION: A student was asked to solve the following problem: {{{ x- sqrt( 17-4x ) =3 }}} and provided the following solution. (Step 1) {{{ (x- sqrt( 17-4x ))^2=3^2 }}} (Step 2)       Log On


   



Question 967069: A student was asked to solve the following problem:
+x-+sqrt%28+17-4x+%29+=3+
and provided the following solution.
(Step 1) +%28x-+sqrt%28+17-4x+%29%29%5E2=3%5E2+
(Step 2) +x%5E2+-%2817-4x%29=9+
(Step 3) +x%5E2+%2B4x-26=0+
(Step 4) +x=+-4%2B-sqrt%28+4%5E2-4%281%29%28-26%29+%29%2F2+
(Step 5) +x=+-4%2B-sqrt%28+120+%29%2F2+
(Step 6) +x=+-2%2B-+sqrt%28+60+%29+=+-2%2B-+2sqrt%28+15+%29+
Identify the mistakes the student made. Make sure to analyze the entire solution as there may be multiple mistakes. Lastly, show the correct answer to the equation.

I appreciate any help provided! Thank you!

Answer by josgarithmetic(39617) About Me  (Show Source):
You can put this solution on YOUR website!
Personally and as typically taught, first isolate the one radical...
This can be started in ones head:
sqrt%2817-4x%29=x-3

Now square both sides:
17-4x=x%5E2-6x%2B3

...into general form:
x%5E2-2x%2B3-17
x%5E2-2x-14=0
-
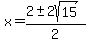
x=%282%2B-+sqrt%284%2B4%2A14%29%29%2F2
x=%282%2B-+sqrt%2860%29%29%2F2
x=%282%2B-+2sqrt%2815%29%29%2F2
highlight%28x=1%2B-+sqrt%2815%29%29


---
Step #2 in the originally given problem looks very bad.