SOLUTION: When 2x3+8x2+19 is divided by x+2, the quotient is 2x2+4x−8 and the remainder is 35. Which of the following equations expresses the true relationship between the polynomia

Algebra ->  Quadratic Equations and Parabolas  -> Quadratic Equations Lessons  -> Quadratic Equation Lesson -> SOLUTION: When 2x3+8x2+19 is divided by x+2, the quotient is 2x2+4x−8 and the remainder is 35. Which of the following equations expresses the true relationship between the polynomia      Log On


   



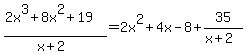
Question 965517: When 2x3+8x2+19 is divided by x+2, the quotient is 2x2+4x−8 and the remainder is 35.
Which of the following equations expresses the true relationship between the polynomials?

35(2x2+4x−8)+(x+2)

(x+2)(2x3+8x2+19)+35

(x+2)(2x2+4x−8)+35

(2x2+4x−8)(x+2)−35

Answer by MathLover1(20849) About Me  (Show Source):
You can put this solution on YOUR website!

if %282x%5E3%2B8x%5E2%2B19%29%2F%28x%2B2%29=2x%5E2%2B4x-8%2B35%2F%28x%2B2%29, then %282x%5E2%2B4x-8%29%28x%2B2%29%2B35 is your answer
check:
%282x%5E2%2B4x-8%29%28x%2B2%29%2B35+.....multiply
2x%5E3%2B4x%5E2%2B8x%2B4x%5E2-8x-16%2B35+
2x%5E3%2B8x%5E2%2Bcross%288x%29-cross%288x%29%2B19+

2x%5E3%2B8x%5E2%2B19+