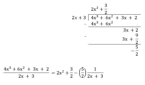
SOLUTION: Find the remainder when 4x cubed +6x squared + 3x + 2 is divided by 2x + 3.
Algebra
->
Quadratic Equations and Parabolas
->
Quadratic Equations Lessons
->
Quadratic Equation Lesson
-> SOLUTION: Find the remainder when 4x cubed +6x squared + 3x + 2 is divided by 2x + 3.
Log On
Quadratics: solvers
Quadratics
Practice!
Practice
Answers archive
Answers
Lessons
Lessons
Word Problems
Word
In Depth
In
Click here to see ALL problems on Quadratic Equations
Question 963321
:
Find the remainder when 4x cubed +6x squared + 3x + 2 is divided by 2x + 3.
Answer by
Fombitz(32388)
(
Show Source
):
You can
put this solution on YOUR website!
.
.
.
.