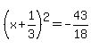
SOLUTION: Solve the equation. Round the solutions to the nearest hundredth, if necessary. 9x^2 +4x+7=3x^2 -8
Algebra
->
Quadratic Equations and Parabolas
->
Quadratic Equations Lessons
->
Quadratic Equation Lesson
-> SOLUTION: Solve the equation. Round the solutions to the nearest hundredth, if necessary. 9x^2 +4x+7=3x^2 -8
Log On
Quadratics: solvers
Quadratics
Practice!
Practice
Answers archive
Answers
Lessons
Lessons
Word Problems
Word
In Depth
In
Click here to see ALL problems on Quadratic Equations
Question 892613
:
Solve the equation. Round the solutions to the nearest hundredth, if necessary. 9x^2 +4x+7=3x^2 -8
Answer by
Fombitz(32388)
(
Show Source
):
You can
put this solution on YOUR website!