Question 64292: 1.) If g(x)= 2-2x^2/3x^3+10x+3, find g(o)
2. If f(x)=-3x+5 then f(x+h)-f(x)/h = ?
3. If y=3x^2-6x+5, determine the vertex and the parabola
4. Find the midpoint between the two points (8,6) and (4,8)
Answer by funmath(2933) (Show Source):
You can put this solution on YOUR website! I'm not sure where your fractions begin and end without parentheses. If I misinterpretted your questions, let me know.
1.) If , find g(o)



:
2. If f(x)=-3x+5 then (f(x+h)-f(x))/h = ?






:
3. If y=3x^2-6x+5, determine the vertex and the parabola
There are two ways to do this, if your class is putting the equation in vertex form to do this, let me know and I'll redo this.
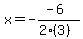
When a quadratic equation is in this form I use this formula to find the x value of the vertex. 
a=3, b=-6 and c=5


Now plug that in for x in the equation to find y.



The vertex is (1,2)
:
4. Find the midpoint between the two points (8,6) and (4,8)
The midpoint formula is ( , )
(x1,y1)=(8,6) and (x2,y2)=(4,8)
( , )
(12/2,14/2)
(6,7)
Happy Calculating!!!
|
|
|