SOLUTION: x(x-4)=21

Algebra ->  Quadratic Equations and Parabolas  -> Quadratic Equations Lessons  -> Quadratic Equation Lesson -> SOLUTION: x(x-4)=21      Log On


   



Question 367276: x(x-4)=21
Answer by jim_thompson5910(35256) About Me  (Show Source):
You can put this solution on YOUR website!
x%28x-4%29=21 Start with the given equation.


x%5E2-4x=21 Distribute


x%5E2-4x-21=0 Subtract 21 from both sides.


Notice that the quadratic x%5E2-4x-21 is in the form of Ax%5E2%2BBx%2BC where A=1, B=-4, and C=-21


Let's use the quadratic formula to solve for "x":


x+=+%28-B+%2B-+sqrt%28+B%5E2-4AC+%29%29%2F%282A%29 Start with the quadratic formula


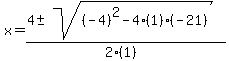
x+=+%28-%28-4%29+%2B-+sqrt%28+%28-4%29%5E2-4%281%29%28-21%29+%29%29%2F%282%281%29%29 Plug in A=1, B=-4, and C=-21


x+=+%284+%2B-+sqrt%28+%28-4%29%5E2-4%281%29%28-21%29+%29%29%2F%282%281%29%29 Negate -4 to get 4.


x+=+%284+%2B-+sqrt%28+16-4%281%29%28-21%29+%29%29%2F%282%281%29%29 Square -4 to get 16.


x+=+%284+%2B-+sqrt%28+16--84+%29%29%2F%282%281%29%29 Multiply 4%281%29%28-21%29 to get -84


x+=+%284+%2B-+sqrt%28+16%2B84+%29%29%2F%282%281%29%29 Rewrite sqrt%2816--84%29 as sqrt%2816%2B84%29


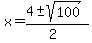
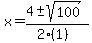
x+=+%284+%2B-+sqrt%28+100+%29%29%2F%282%281%29%29 Add 16 to 84 to get 100


x+=+%284+%2B-+sqrt%28+100+%29%29%2F%282%29 Multiply 2 and 1 to get 2.


x+=+%284+%2B-+10%29%2F%282%29 Take the square root of 100 to get 10.


x+=+%284+%2B+10%29%2F%282%29 or x+=+%284+-+10%29%2F%282%29 Break up the expression.


x+=+%2814%29%2F%282%29 or x+=++%28-6%29%2F%282%29 Combine like terms.


x+=+7 or x+=+-3 Simplify.


So the solutions are x+=+7 or x+=+-3


If you need more help, email me at jim_thompson5910@hotmail.com

Also, feel free to check out my tutoring website

Jim