SOLUTION: solve {{{(x+4/5)^2 = 19/25 }}} could someone please help me with this problem?

Algebra ->  Quadratic Equations and Parabolas  -> Quadratic Equations Lessons  -> Quadratic Equation Lesson -> SOLUTION: solve {{{(x+4/5)^2 = 19/25 }}} could someone please help me with this problem?      Log On


   



Question 335966: solve
%28x%2B4%2F5%29%5E2+=+19%2F25+
could someone please help me with this problem?

Answer by jim_thompson5910(35256) About Me  (Show Source):
You can put this solution on YOUR website!

%28x%2B4%2F5%29%5E2=19%2F25 Start with the given equation.


x%2B4%2F5=%22%22%2B-sqrt%2819%2F25%29 Take the square root of both sides.


x%2B4%2F5=sqrt%2819%2F25%29 or x%2B4%2F5=-sqrt%2819%2F25%29 Break up the "plus/minus" to form two equations.


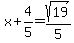
x%2B4%2F5=sqrt%2819%29%2F5 or x%2B4%2F5=-sqrt%2819%29%2F5 Simplify the square root.


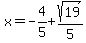
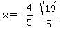
x=-4%2F5%2Bsqrt%2819%29%2F5 or x=-4%2F5-sqrt%2819%29%2F5 Subtract 4%2F5 from both sides.


x=%28-4%2Bsqrt%2819%29%29%2F%285%29 or x=%28-4-sqrt%2819%29%29%2F%285%29 Combine the fractions.


--------------------------------------


Answer:


So the solutions are x=%28-4%2Bsqrt%2819%29%29%2F%285%29 or x=%28-4-sqrt%2819%29%29%2F%285%29.


If you need more help, email me at jim_thompson5910@hotmail.com

Also, feel free to check out my website.

Jim