Question 250963: Solve for r
S = 1/3(pi)r^2h + 4(pi)rh
Answer by jsmallt9(3758) (Show Source):
You can put this solution on YOUR website! 
(Note: Assuming r is radius and h is height, there is something wrong with this equation. would be a number of cubic units and would be a number of square units. I cannot imagine a context where a sum of cubic units and square units makes any sense. So I will solve this problem using a) an equation that I am guessing is the correct one, and b) the equation you have provided.)
Solving for a variable means "transform the equation (with proper Algebra) so that that variable is by itself on one side." To solve for a variable, it is important to focus on that variable. The rest of the equation is "clutter" in the sense that it has no bearing on how we solve for r. Since we're solving for r, we need to focus on the r's in the equation.
a. (Guessed) Equation: 
Focusing on the r's we should see two 's. An equation with in it is a quadratic equation for r. So we solve for r by solving the quadratic equation.
And how do we solve quadratic equations? The most commonly used way is:- Simplify each side of the equation.
- Make one side of the equation zero (by adding and/or subtracting appropriate expressions).
- Next we either use factoring:
- Factor the non-zero side.
- Use the Zero Product Property and set each factor equal to zero.
- Solve each of the "factor equals zero" equations.
or use the quadratic formula: 
You may notice that the phrase "the most commonly used way [to solve quadratic equations]" was used. We can use this on the equation. But since there is just 's and no r terms, we can use a shorter method:
Factor out :

Divide both sides by the other factor:

Find the square root of each side:

Normally . But since r represents the length of a radius we can disregard the negative value for r:

And we have solved for r. The only thing left to do is put the left side in the proper form. We'll multiply the top and bottom of the fraction by 3 to get rid of the fraction within a fraction:

I'll leave it up to you to rationalize the denominator. (Hint: Multiply the top and bottom by ).
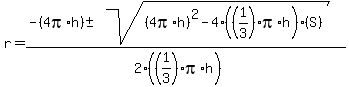
b. (Your) equation: 
With both and r there are no shortcuts for this one. So we will
1. Simplify each side. Your equation is already simplified.
2. Get one side equal to zero (by subtracting S from each side):

Using the Commutative Propoerty for Multiplication I will rearrange the terms with r so that the r is at the back:

3. Factoring this is nearly impossible so we will use the Quadratic Formula. With the equation "a", the coefficient of the squared term, is , "b", the coefficient of the r term, is and "c", the term without an r, is S. Using the Quadratic Formula with these expressions for a, b and c we get:

(As you can see, the equation which didn't make any sense to begin with also has a very confusing mess of a solution. I will simplify it anyway.)

Since we don't leave fractions inside sqaure roots and we don't leave square roots in denominators, I will use a common denominator of 9 inside the square root to subtract:




Multiply the numerator and denominator of the "big" fraction by 3 (to get rid of the fractions within a fraction):

Again we can reject the negative result leaving:

If both your equation and the one I guessed are not the correct equation, I hope some of this will help you figure out a solution.
|
|
|