SOLUTION: Write the expression f(x) = -6xsquare +5x+2 in the form k+a(x+h)square, Hence, solve the equation f(x)=0

Algebra ->  Quadratic Equations and Parabolas  -> Quadratic Equations Lessons  -> Quadratic Equation Lesson -> SOLUTION: Write the expression f(x) = -6xsquare +5x+2 in the form k+a(x+h)square, Hence, solve the equation f(x)=0      Log On


   



Question 1136767: Write the expression f(x) = -6xsquare +5x+2 in the form k+a(x+h)square, Hence, solve the equation f(x)=0
Found 2 solutions by MathLover1, MathTherapy:
Answer by MathLover1(20850) About Me  (Show Source):
You can put this solution on YOUR website!
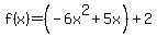
f%28x%29+=+-6x%5E2+%2B5x%2B2
in the form y=k%2Ba%28x%2Bh%29%5E2:
f%28x%29+=+%28-6x%5E2+%2B5x%29%2B2
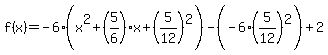
f%28x%29+=+-6%28x%5E2+%2B%285%2F6%29x%29%2B2
f%28x%29+=+-6%28x%5E2+%2B%285%2F6%29x%2Bb%5E2%29-%28-6b%5E2%29%2B2...take half of %285%2F6%29 for b=>b=%285%2F6%29%2F2=5%2F12
f%28x%29+=+-6%28x%5E2+%2B%285%2F6%29x%2B%285%2F12%29%5E2%29-%28-6%285%2F12%29%5E2%29%2B2
f%28x%29+=+-6%28x%2B5%2F12%29%5E2-%28-6%2825%2F144%29%29%2B2
f%28x%29+=+-6%28x%2B5%2F12%29%5E2-%28-cross%286%291%2825%2Fcross%28144%2924%29%29%2B2
f%28x%29+=+-6%28x%2B5%2F12%29%5E2-%28-25%2F24%29%2B2
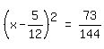
f%28x%29+=+-6%28x%2B5%2F12%29%5E2%2B25%2F24%2B48%2F24
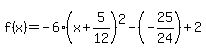
f%28x%29+=+-6%28x%2B5%2F12%29%5E2%2B73%2F24

then f%28x%29=0


f%280%29+=+-6%280%2B5%2F12%29%5E2%2B73%2F24
f%280%29+=+-6%285%2F12%29%5E2%2B73%2F24
f%280%29+=+-6%2825%2F144%29%2B73%2F24
f%280%29+=+-cross%286%29%2825%2Fcross%28144%2924%29%2B73%2F24
f%280%29+=+-25%2F24%2B73%2F24
f%280%29+=+48%2F24
f%280%29+=+2



Answer by MathTherapy(10552) About Me  (Show Source):
You can put this solution on YOUR website!
Write the expression f(x) = -6xsquare +5x+2 in the form k+a(x+h)square, Hence, solve the equation f(x)=0
Correct equation, in VERTEX form: . ACCEPT NO OTHER!!
f(x) = 0
matrix%281%2C3%2C+0%2C+%22=%22%2C+-+6%28x++-++5%2F12%29%5E2+%2B+73%2F24%29 ------ Substituting 0 for f(x)
matrix%281%2C3%2C+6%28x++-++5%2F12%29%5E2%2C+%22=%22%2C+73%2F24%29 ---------- Adding -+6%28x+-+5%2F12%29%5E2 to both sides
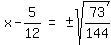
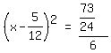
matrix%281%2C3%2C+%28x++-++5%2F12%29%5E2%2C+%22=%22%2C+%2873%2F24%29%2F6%29 ---------- Dividing both sides by 6
matrix%281%2C3%2C+%28x++-++5%2F12%29%5E2%2C+%22=%22%2C+73%2F144%29
matrix%281%2C3%2C+x++-++5%2F12%2C+%22=%22%2C+%22+%22+%2B-+sqrt%2873%2F144%29%29 ----------- Taking square root of both sides
matrix%281%2C3%2C+x++-++5%2F12%2C+%22=%22%2C+%22+%22+%2B-sqrt%2873%29%2F12%29%29