SOLUTION: How to complete square method of 3x^2 +6x=12

Algebra ->  Quadratic Equations and Parabolas  -> Quadratic Equations Lessons  -> Quadratic Equation Lesson -> SOLUTION: How to complete square method of 3x^2 +6x=12      Log On


   



Question 1128512: How to complete square method of 3x^2 +6x=12
Found 2 solutions by MathLover1, MathTherapy:
Answer by MathLover1(20849) About Me  (Show Source):
You can put this solution on YOUR website!

+3x%5E2+%2B6x=12....first simplify, both sides divide by 3
+x%5E2+%2B2x=4
+%28x%5E2+%2B2x%2Bb%5E2%29-b%5E2=4
+%28x%5E2+%2B2x%2B1%5E2%29-1%5E2=4
+%28x%2B1%29%5E2-1=4
+%28x%2B1%29%5E2=4%2B1
+%28x%2B1%29%5E2=5
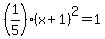
+%281%2F5%29%28x%2B1%29%5E2=1



Answer by MathTherapy(10552) About Me  (Show Source):
You can put this solution on YOUR website!

How to complete square method of 3x^2 +6x=12
matrix%281%2C3%2C+3x%5E2+%2B+6x%2C+%22=%22%2C+12%29
matrix%281%2C3%2C+3x%5E2%2F3+%2B+%286%2F3%29x%2C+%22=%22%2C+12%2F3%29 ----- Dividing by 3 to make LEADING COEFFICIENT, + 1.
matrix%281%2C3%2C+x%5E2+%2B+2x%2C+%22=%22%2C+4%29
------ Taking 1%2F2 of "b," SQUARING it, and then ADDING the result to both sides
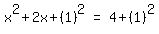
matrix%281%2C3%2C+x%5E2+%2B+2x+%2B+%281%29%5E2%2C+%22=%22%2C+4+%2B+%281%29%5E2%29
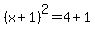
matrix%281%2C3%2C+%28x+%2B+1%29%5E2%2C+%22=%22%2C+5%29
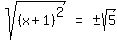
matrix%281%2C3%2C+sqrt%28%28x+%2B+1%29%5E2%29%2C+%22=%22%2C+%22+%22%2B-+sqrt%285%29%29%29 ----- Taking square root of both sides
matrix%281%2C3%2C+x+%2B+1%2C+%22=%22%2C+%22+%22%2B-+sqrt%285%29%29
highlight_green%28matrix%281%2C3%2C+x%2C+%22=%22%2C+%22+%22%2B-+sqrt%285%29+-+1%29%29
You can calculate that if you need APPROXIMATE solutions.