Question 103617: Solve by completeing square
x^2=4-7x
3x^2-x-x-2=0
If the square of 2 less than an interger is 16, find the number(s)?
Answer by MathLover1(20849) (Show Source):
You can put this solution on YOUR website!
1. =>
Solved by pluggable solver: COMPLETING THE SQUARE solver for quadratics |
Read this lesson on completing the square by prince_abubu, if you do not know how to complete the square. Let's convert to standard form by dividing both sides by 1:
We have: .
What we want to do now is to change this equation to a complete square . How can we find out values of somenumber and othernumber that would make it work?
Look at : . Since the coefficient in our equation that goes in front of x is 7, we know that 7=2*somenumber, or . So, we know that our equation can be rewritten as , and we do not yet know the other number.
We are almost there. Finding the other number is simply a matter of not making too many mistakes. We need to find 'other number' such that is equivalent to our original equation .

The highlighted red part must be equal to -4 (highlighted green part).
, or .
So, the equation converts to , or .
Our equation converted to a square , equated to a number (16.25).
Since the right part 16.25 is greater than zero, there are two solutions:

, or




Answer: x=0.531128874149275, -7.53112887414927.
|
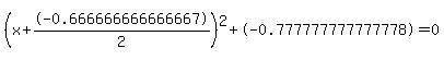
2. =>
Solved by pluggable solver: COMPLETING THE SQUARE solver for quadratics |
Read this lesson on completing the square by prince_abubu, if you do not know how to complete the square. Let's convert to standard form by dividing both sides by 3:
We have: .
What we want to do now is to change this equation to a complete square . How can we find out values of somenumber and othernumber that would make it work?
Look at : . Since the coefficient in our equation that goes in front of x is -0.666666666666667, we know that -0.666666666666667=2*somenumber, or . So, we know that our equation can be rewritten as , and we do not yet know the other number.
We are almost there. Finding the other number is simply a matter of not making too many mistakes. We need to find 'other number' such that is equivalent to our original equation .

The highlighted red part must be equal to -0.666666666666667 (highlighted green part).
, or .
So, the equation converts to , or .
Our equation converted to a square , equated to a number (0.777777777777778).
Since the right part 0.777777777777778 is greater than zero, there are two solutions:

, or




Answer: x=1.21525043702153, -0.548583770354863.
|
|
|
|