SOLUTION: x^2+3x+1=0
Algebra
->
Quadratic Equations and Parabolas
-> SOLUTION: x^2+3x+1=0
Log On
Quadratics: solvers
Quadratics
Practice!
Practice
Answers archive
Answers
Lessons
Lessons
Word Problems
Word
In Depth
In
Click here to see ALL problems on Quadratic Equations
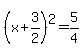
Question 887618
:
x^2+3x+1=0
Answer by
Fombitz(32388)
(
Show Source
):
You can
put this solution on YOUR website!