Question 884679: Solving quadratic systems. Also asked to state which conic section each equation represents. (Circle, parabolas, etc). Please explain how to solve 4x^2+9y^2=144
2x+3y=12 either by elimination or substitution. Also advise how would I know which conic section to chose.
Found 2 solutions by josgarithmetic, MathTherapy: Answer by josgarithmetic(39618) (Show Source): Answer by MathTherapy(10552) (Show Source):
You can put this solution on YOUR website! Solving quadratic systems. Also asked to state which conic section each equation represents. (Circle, parabolas, etc). Please explain how to solve 4x^2+9y^2=144
2x+3y=12 either by elimination or substitution. Also advise how would I know which conic section to chose.

Since the coefficients (4 & 9) on the 2nd degree variables are UNEQUAL, this conic section is an ELLIPSE.

First degree variables exist, so a LINEAR EQUATION, thus a LINE graph.
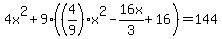
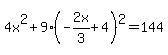
-------- eq (i)
2x + 3y = 12______2x = 12 - 3y____ -------- eq (ii)
--------- Substituting for x in eq (i)






2x + 3(4) = 12 -------- Substituting 4 for y in eq (ii)
2x + 12 = 12
2x = 0
, or
2x + 3(0) = 12 -------- Substituting 0 for y in eq (ii)
2x + 0 = 12
2x = 12
, or 
Therefore, and 
You can do the check!!
If you need a complete and detailed solution, let me know!!
Send comments, “thank-yous,” and inquiries to “D” at MathMadEzy@aol.com.
Further help is available, online or in-person, for a fee, obviously.
For FREE info and answers to questions about the ASVAB exam, the NYS 3 – 8 city/state wide exams,GENERAL
MATH and HOMEWORK QUESTIONS, or MATH QUESTIONS related to the Regents Integrated Algebra,
Regents Geometry, Regents Algebra 2/Trigonometry, SHSAT, COOP/HSPT/TACHS, PSAT, SAT, ACT, SSAT/ISEE,
GRE, CLEP, and the TASC/GED, you can visit: http://asvabstudyzone.freeforums.net/.
|
|
|