Question 877075: 9m^2-3m-18=0
please how to solve this equation
Answer by KMST(5328) (Show Source):
You can put this solution on YOUR website! We could begin by dividing both sides of the equal sign by 3.
It is not absolutely necessary, but it makes calculations a bit easier.
---> ---> --->
At this point, if you like the quadratic formula, you can apply it.
If you do not like formula, you would have to solve it by "completing the square."
USING THE QUADRATIC FORMULA:
If an equation of the type has any solution(s),they are given by

In this case, our variable is instead of , but that does not matter.
The coefficients of the equation are:
, , and , so

The approximate values are (rounded to 3 decimal places).
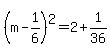
COMPLETING THE SQUARE:
---> (dividing both sides by 3 again
--->



So --> -->
|
|
|