SOLUTION: I need help in writing a word problem involving a quadratic function. And I need to explain it in terms someone not in class could understand it, please. I am in the home stretch o

Algebra ->  Quadratic Equations and Parabolas -> SOLUTION: I need help in writing a word problem involving a quadratic function. And I need to explain it in terms someone not in class could understand it, please. I am in the home stretch o      Log On


   



Question 730485: I need help in writing a word problem involving a quadratic function. And I need to explain it in terms someone not in class could understand it, please. I am in the home stretch of my class and would really appreciate the help. Thank you
Answer by MathLover1(20855) About Me  (Show Source):
You can put this solution on YOUR website!

A function f is a quadratic function if f%28x%29+=+ax%5E2+%2B+bx+%2B+c where a, b, and c are real numbers and not equal to 0.
The graph of a quadratic function is a parabola. The most basic aid in graphing a parabola is knowing whether a+%3E+0 (the graph opens upward) or a+%3C+0 (the graph opens downward).
The two simplest quadratic functions are f%28x%29+=+x%5E2 and g%28x%29+=+-+x%5E2 .
a word problem involving a quadratic function:
An inquiry shows that 60000 students will attend a theater play in one week if the ticket price is 40 dollars. Suppose that for every 2.50 dollars added to the ticket price, 2000 fewer students will attend the play.
1. What ticket price will give the greatest revenue for the week?
2. what is the approximate maximum possible profit for the week if the theater play spends approximately 1.5 million dollars to have the play showed for one week?
answer:
1. Let x be the number of times $2.50 is added to the ticket price (and 2000 fewer students attend).
Revenue for the week is %2840%2B2.50x%29%2860000-2000x%29
= 2.5%2816%2Bx%29%2A2000%2830-x%29
= 5000%2816%2Bx%29%2830-x%29
= 5000%28-x%5E2%2B14x%2B480%29
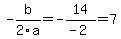
Thus the greatest revenue is given by the maximum of function -x%5E2%2B14x%2B480. It is a quadratic function with a maximum of -b%2F2a=+-14%2F%28-2%29=7 where 7 is the value of x for which the revenue will be greatest.
To answer the question, calculate the corresponding ticket price by adding $2.50%2A7 to the original $40=40%2B2.5%2A7=57.50.
2. Profit=revenue+-+spending
Since spendings are fixed, maximum profit is obtained when maximum revenue is obtained as above, for x=7.
Max+_profit=5000%28-7%5E2%2B14%2A7%2B480%29-1500000
=$1145000