Question 722289: Could you please explain and show all steps to the factoring and solving to the questions below? Also could you please show me how to check my solution back into the original equation?
For the Quadratic Formula problem, could you please include readable notation while you are working the computational steps?
Could you please show me the final solutions as decimal approximations carried out to the third decimal place. Due to the nature of these solutions, no check is required.
If possible and applicable, could you please show me how to incorporate the following four math vocabulary words into my steps?
*Quadratic formula
*Factoring
*Completing the square
*Discriminant
1. 2m^(2) - m - 15 = 0
2. 2y^(2) - 3y - 6 = 0
Answer by ankor@dixie-net.com(22740) (Show Source):
You can put this solution on YOUR website! 1. 
these are based on the form y = ax^2 + bx + c
In this equation a=2; b=-1; c=-15
:
the Quadratic formula:
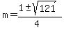
in our equation x=m; a=2; b=-1; c= -15

do the math


two solution from the square root of 121

m = 
m = 3
and
m = -10/4
m = -2.5
:
factoring

(2m ___)(m____) = 0
find the two factors of -15 that when you FOIL them the middle coefficient is -1
(2m + 5)(m - 3) = 0
Same solutions
2m = -5
m = -5/2 (-2.5)
and
m = +3
:
Completing the square, write it

when completing the square, the coefficient of m^2 has to be 1,
divide thru by 2
m^2 - .5m + ___ = 7.5
Find the value that completes the square,
divide the coefficient of m and square it, that's (.5/2)^2 = .0625,
add to both sides
m^2 -.5m + .0625 = 7.5 + .0625
m^2 - .5m + .0625 = 7.5625
Which is
(m - .25)^2 = 7.5625
Find the square root of both sides
m - .25 = +/-
m = .25 +/-
Find the square root, you have two solutions
m = .25 + 2.75
m = 3
and
m = .25 - 2.75
m = -2.5
:
Discriminant: D = b^2 - 4*a*c, remember a=2; b=-1; c=-15
D = -1^2 - 4 * 2 * -15
D = 1 + 120
D = 121
It's positive, therefore, there are two unequal real roots, (which we knew)
:
:
I only have time for one of these, using this try to do the next one yourself
2. 2y^(2) - 3y - 6 = 0
|
|
|