SOLUTION: If the roots of 2x^2 +3x-1=0 are alpha and beta. Find the values of alpha square + beta square

Algebra ->  Quadratic Equations and Parabolas -> SOLUTION: If the roots of 2x^2 +3x-1=0 are alpha and beta. Find the values of alpha square + beta square      Log On


   



Question 705705: If the roots of 2x^2 +3x-1=0 are alpha and beta. Find the values of alpha square + beta square
Answer by KMST(5345) About Me  (Show Source):
You can put this solution on YOUR website!
If the roots of 2x%5E2+%2B3x-1=0 are alpha and beta, then
alpha%2Bbeta=-3%2F2 and
%28alpha%29%28beta%29=-1%2F2
(Reasons below)

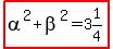
Then alpha%5E2%2Bbeta%5E2 can be easily calculated as:

alpha%5E2%2Bbeta%5E2=%28-3%2F2%29%5E2-2%28-1%2F2%29
alpha%5E2%2Bbeta%5E2=9%2F4%2B1
highlight%28alpha%5E2%2Bbeta%5E2=13%2F4%29 or highlight%28alpha%5E2%2Bbeta%5E2=3%261%2F4%29 or highlight%28alpha%5E2%2Bbeta%5E2=3.25%29

REASONS:
The sum of the solutions to the quadratic equation ax%5E2%2Bbx%2Bc=0 equals -b%2Fa
and the product equals c%2Fa .
Why?
Because if roots of 2x%5E2+%2B3x-1=0 are alpha and beta,
factoring should transform that equation into
a%28x-alpha%29%28x-beta%29=0 --> a%28x%5E2-beta%2Ax-alpha%2Ax%2B%28alpha%29%28beta%29%29=0 --> a%28x%5E2-%28beta%2Balpha%29%2Ax%2B%28alpha%29%28beta%29%29=0 --> ax%5E2-a%28beta%2Balpha%29%2Ax%2Ba%28alpha%29%28beta%29=0
and if that equation must be equivalent to ax%5E2%2Bbx%2Bc=0,
all three coefficients must be the same.
The coefficient of the term in x is
b=-a%28beta%2Balpha%29 --> -b%2Fa=beta%2Balpha.
The constant (or independent term) is
c=a%28alpha%29%28beta%29 --> c%2Fa=%28alpha%29%28beta%29