SOLUTION: The length of a rectangle is 4 cm more than 2 times its width. If the area of the rectangle is 74 cm2, find the dimensions of the rectangle to the nearest thousandth.
The answe
Algebra ->
Quadratic Equations and Parabolas
-> SOLUTION: The length of a rectangle is 4 cm more than 2 times its width. If the area of the rectangle is 74 cm2, find the dimensions of the rectangle to the nearest thousandth.
The answe
Log On
Question 69253: The length of a rectangle is 4 cm more than 2 times its width. If the area of the rectangle is 74 cm2, find the dimensions of the rectangle to the nearest thousandth.
The answer that I have figured is w=5.165 and L=14.330 and I have no idea if this is correct. Can I get a little help with this problem. Thanks. Answer by ptaylor(2198) (Show Source):
Let x= the width of the rectangle
Then 2x+4=length of rectangle (4 cm more than twice the width)
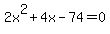
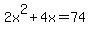
Area of rectangle =l*w=(2x+4)(x) so our equation to solve is:
get rid of parens
subtract 74 from both sides
divide both sides by 2
quadratic in standard form
We'll solve using the quadratic formula:
cm -----------------width of rectangle
cm---------------length of rectangle
We'll discount the negative value for x
CK
Area = l*w=14.330*5.165=74.01~74 ---ok
Hope this helps----ptaylor