SOLUTION: Solve for x. Enter your answer below as an improper fraction in lowest terms, using the slash ( / ) as the fraction bar. Link to problem: http://goo.gl/H6wId

Algebra ->  Quadratic Equations and Parabolas -> SOLUTION: Solve for x. Enter your answer below as an improper fraction in lowest terms, using the slash ( / ) as the fraction bar. Link to problem: http://goo.gl/H6wId       Log On


   



Question 631859: Solve for x. Enter your answer below as an improper fraction in lowest terms, using the slash ( / ) as the fraction bar.
Link to problem:
http://goo.gl/H6wId



Answer by Tatiana_Stebko(1539) About Me  (Show Source):
You can put this solution on YOUR website!
x-86%2F9=3%2F5 add 86%2F9 to the both sides of an equation
x=3%2F5%2B86%2F9
x=3%2F5%2B%288%2A9%2B6%29%2F9
x=3%2F5%2B78%2F9
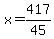
x=%283%2A9%2B78%2A5%29%2F45
x=417%2F45
x=139%2F15
x=94%2F15