SOLUTION: Need help fast...Please someone show me how to do this. Solve X in (x-2)(x+5)=0 also Solve Y in 16(y-3)^2=64 and Solve Y in y^2+2y-3=0 I am so confused... Thanks

Algebra ->  Quadratic Equations and Parabolas -> SOLUTION: Need help fast...Please someone show me how to do this. Solve X in (x-2)(x+5)=0 also Solve Y in 16(y-3)^2=64 and Solve Y in y^2+2y-3=0 I am so confused... Thanks      Log On


   



Question 35398: Need help fast...Please someone show me how to do this.
Solve X in (x-2)(x+5)=0
also
Solve Y in 16(y-3)^2=64
and
Solve Y in y^2+2y-3=0
I am so confused...
Thanks

Answer by lyra(94) About Me  (Show Source):
You can put this solution on YOUR website!
Solved by pluggable solver: EXPLAIN simplification of an expression
Your Result:


YOUR ANSWER


  • This is an equation! Solutions: x=2,x=-5.
  • Graphical form: Equation %28x-2%29%2A%28x%2B5%29=0 was fully solved.
  • Text form: (x-2)*(x+5)=0 simplifies to 0=0
  • Cartoon (animation) form: simplify_cartoon%28+%28x-2%29%2A%28x%2B5%29=0+%29
    For tutors: simplify_cartoon( (x-2)*(x+5)=0 )
  • If you have a website, here's a link to this solution.

DETAILED EXPLANATION


Look at highlight_red%28+%28x-2%29+%29%2A%28x%2B5%29=0.
Notes known roots (x-(2))

Look at highlight_red%28+%28highlight_red%28+1+%29%29%2A%28x%2B5%29+%29=0.
Remove unneeded parentheses around factor highlight_red%28+1+%29
It becomes highlight_green%28+1+%29%2A%28x%2B5%29=0.

Look at highlight_red%28+1+%29%2A%28x%2B5%29=0.
Remove extraneous '1' from product highlight_red%28+1+%29
It becomes %28x%2B5%29=0.

Look at highlight_red%28+%28x%2B5%29+%29=0.
Remove unneeded parentheses around terms highlight_red%28+x+%29,highlight_red%28+5+%29
It becomes highlight_green%28+x+%29%2Bhighlight_green%28+5+%29=0.

Look at highlight_red%28+x%2B5+%29=0.
Solved linear equation highlight_red%28+x%2B5=0+%29 equivalent to x+5 =0
It becomes highlight_green%28+0+%29=0.
Result: 0=0
This is an equation! Solutions: x=2,x=-5.

Universal Simplifier and Solver


Done!

Solved by pluggable solver: EXPLAIN simplification of an expression
Your Result:


YOUR ANSWER


Sorry, this expression cannot be simplified.

Universal Simplifier and Solver


Done!

Solved by pluggable solver: SOLVE quadratic equation with variable
Quadratic equation ay%5E2%2Bby%2Bc=0 (in our case 1y%5E2%2B2y%2B-3+=+0) has the following solutons:

y%5B12%5D+=+%28b%2B-sqrt%28+b%5E2-4ac+%29%29%2F2%5Ca

For these solutions to exist, the discriminant b%5E2-4ac should not be a negative number.

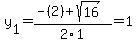
First, we need to compute the discriminant b%5E2-4ac: b%5E2-4ac=%282%29%5E2-4%2A1%2A-3=16.

Discriminant d=16 is greater than zero. That means that there are two solutions: +x%5B12%5D+=+%28-2%2B-sqrt%28+16+%29%29%2F2%5Ca.

y%5B1%5D+=+%28-%282%29%2Bsqrt%28+16+%29%29%2F2%5C1+=+1
y%5B2%5D+=+%28-%282%29-sqrt%28+16+%29%29%2F2%5C1+=+-3

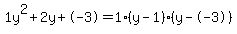
Quadratic expression 1y%5E2%2B2y%2B-3 can be factored:
1y%5E2%2B2y%2B-3+=+1%28y-1%29%2A%28y--3%29
Again, the answer is: 1, -3. Here's your graph:
graph%28+500%2C+500%2C+-10%2C+10%2C+-20%2C+20%2C+1%2Ax%5E2%2B2%2Ax%2B-3+%29


Hope this helps,
lyra