SOLUTION: Solve the following by completing the square 2x^2 - x - 6 = 0
Algebra
->
Quadratic Equations and Parabolas
-> SOLUTION: Solve the following by completing the square 2x^2 - x - 6 = 0
Log On
Quadratics: solvers
Quadratics
Practice!
Practice
Answers archive
Answers
Lessons
Lessons
Word Problems
Word
In Depth
In
Click here to see ALL problems on Quadratic Equations
Question 343862
:
Solve the following by completing the square
2x^2 - x - 6 = 0
Answer by
Fombitz(32388)
(
Show Source
):
You can
put this solution on YOUR website!
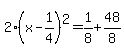
and
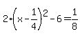
and
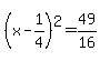
and