SOLUTION: (a+b)(a-b)(1+x)(1-x)=4abx.Find x. email is: sriyan5@yahoo.com

Algebra ->  Quadratic Equations and Parabolas -> SOLUTION: (a+b)(a-b)(1+x)(1-x)=4abx.Find x. email is: sriyan5@yahoo.com      Log On


   



Question 324935: (a+b)(a-b)(1+x)(1-x)=4abx.Find x.
email is: sriyan5@yahoo.com

Answer by Fombitz(32388) About Me  (Show Source):
You can put this solution on YOUR website!
%28a%2Bb%29%28a-b%29%281%2Bx%29%281-x%29=4abx
%281%2Bx%29%281-x%29=%284ab%29%2F%28%28a%2Bb%29%28a-b%29%29x
1-x%5E2=%28%284ab%29%2F%28%28a%5E2-b%5E2%29%29%29x
x%5E2%2B+%28%284ab%29%2F%28%28a%5E2-b%5E2%29%29%29+x-1=0
Use the quadratic formula, careful not to confuse the coefficients (a,b,c),
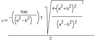
x+=+%28-b+%2B-+sqrt%28+b%5E2-4%2Aa%2Ac+%29%29%2F%282%2Aa%29+

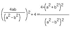
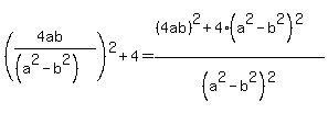
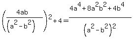
Let's look at the term under the square root sign separately,





Now back to the square root.


Two solutions,

x+=+%28a%5E2-2ab%2Bb%5E2%29%2F%28a%5E2-b%5E2%29+
x=%28a-b%29%5E2%2F%28%28a%2Bb%29%28a-b%29%29
highlight%28x=%28a-b%29%2F%28a%2Bb%29%29
.
.
.

x+=+-%28a%5E2%2B2ab%2Bb%5E2%29%2F%28a%5E2-b%5E2%29+
x=-%28a%2Bb%29%5E2%2F%28%28a%2Bb%29%28a-b%29%29
highlight%28x=-%28a%2Bb%29%2F%28a-b%29%29