SOLUTION: express the function f(x)=4x^2-12x +5 in factored form

Algebra ->  Quadratic Equations and Parabolas -> SOLUTION: express the function f(x)=4x^2-12x +5 in factored form      Log On


   



Question 253817: express the function f(x)=4x^2-12x +5 in factored form
Found 2 solutions by drk, richwmiller:
Answer by drk(1908) About Me  (Show Source):
You can put this solution on YOUR website!
We can to express the following in factored form:
f%28x%29=4x%5E2-12x+%2B5
we must complete the square. step 1 factor out a 4 from the first and second terms like this:
f%28x%29=4%28x%5E2-3x+%2B+_____%29+%2B5+-++_____
Notice the blanks. A number will go there.
step 2 - take 1/2 middle term and square it. put this answer in the first blank like this:
f%28x%29=4%28x%5E2-3x+%2B+%28-1.5%29%5E2%29+%2B5+-++_____
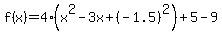
step 3 - multiply the (-1.5)^2 * 4 and put that answer in the second blank, like this:
f%28x%29=4%28x%5E2-3x+%2B+%28-1.5%29%5E2%29+%2B5+-+9
step 4 - rewrite the squared material as a single quantity squared and simplify the last 2 numbers, like this:
4(x -1.5)^2) - 4
This is factored form.

Answer by richwmiller(17219) About Me  (Show Source):
You can put this solution on YOUR website!
f(x)=(2x-5)*(2x-1)