SOLUTION: I am stumped on these equations. I have to solve them with the following steps: a) Move the constant term to the right side of the equation. b) Multiply each term in the equation

Algebra ->  Quadratic Equations and Parabolas -> SOLUTION: I am stumped on these equations. I have to solve them with the following steps: a) Move the constant term to the right side of the equation. b) Multiply each term in the equation      Log On


   



Question 234272: I am stumped on these equations. I have to solve them with the following steps:
a) Move the constant term to the right side of the equation.
b) Multiply each term in the equation by four times the coefficient of the x squared term.
c) Square the coefficient of the original x term and add it to both sides of the equation.
d) Take the square root of both sides.
e) Set the left side of the equation to the positive square root of the right side and solve for x.
f) Set the left side of the equation equal to the negative square root of the right side and solve for x.
The equations I am stumped on are:
x^2+12x-64
2x^2-3x-5=0

Answer by Earlsdon(6294) About Me  (Show Source):
You can put this solution on YOUR website!
This seems easy enough if you follow the given directions!
x%5E2%2B12x-64+=+0 "Move the constant term (-64) to the right side of the equation."
x%5E2%2B12x+=+64 "Multiply each term of the equation by four times the coefficient (4%2A1+=+4) of the x-squared term."
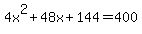
4x%5E2%2B48x+=+256 "Square the coefficient of the original x-term (12%5E2+=+144) and add it to both sides of the equation."
4x%5E2%2B48x%2B144+=+400 "Take the square root of both sides of the equation." (Note: You should first factor the left side before taking the square root.)
%282x%2B12%29%2A%282x%2B12%29+=+400
%282x%2B12%29%5E2+=+400 Now take the square root.
2x%2B12+=+20 or 2x%2B12+=+-20
2x%2B12+=+20--->2x+=+8--->highlight%28x+=+4%29
2x%2B12+=+-20--->2x+=+-32--->highlight%28x+=+-16%29