SOLUTION: Put the following quadratic function in standard form: a(x-h)^2+k. (a) f(x)=4x^2+3x+1. (b) f(x)=-2x^2-2x+3 (c) y=x^2+5x+2

Algebra ->  Quadratic Equations and Parabolas -> SOLUTION: Put the following quadratic function in standard form: a(x-h)^2+k. (a) f(x)=4x^2+3x+1. (b) f(x)=-2x^2-2x+3 (c) y=x^2+5x+2      Log On


   



Question 227665: Put the following quadratic function in standard form: a(x-h)^2+k.
(a) f(x)=4x^2+3x+1.
(b) f(x)=-2x^2-2x+3
(c) y=x^2+5x+2

Answer by jim_thompson5910(35256) About Me  (Show Source):
You can put this solution on YOUR website!
I'll do the first one to get you started.

a)



4x%5E2%2B3x%2B1 Start with the given expression.


4%28x%5E2%2B%283%2F4%29x%2B1%2F4%29 Factor out the x%5E2 coefficient 4. This step is very important: the x%5E2 coefficient must be equal to 1.


Take half of the x coefficient 3%2F4 to get 3%2F8. In other words, %281%2F2%29%283%2F4%29=3%2F8.


Now square 3%2F8 to get 9%2F64. In other words, %283%2F8%29%5E2=%283%2F8%29%283%2F8%29=9%2F64


4%28x%5E2%2B%283%2F4%29x%2Bhighlight%289%2F64-9%2F64%29%2B1%2F4%29 Now add and subtract 9%2F64 inside the parenthesis. Make sure to place this after the "x" term. Notice how 9%2F64-9%2F64=0. So the expression is not changed.


4%28%28x%5E2%2B%283%2F4%29x%2B9%2F64%29-9%2F64%2B1%2F4%29 Group the first three terms.


4%28%28x%2B3%2F8%29%5E2-9%2F64%2B1%2F4%29 Factor x%5E2%2B%283%2F4%29x%2B9%2F64 to get %28x%2B3%2F8%29%5E2.


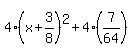
4%28%28x%2B3%2F8%29%5E2%2B7%2F64%29 Combine like terms.


4%28x%2B3%2F8%29%5E2%2B4%287%2F64%29 Distribute.


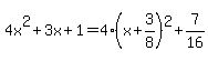
4%28x%2B3%2F8%29%5E2%2B7%2F16 Multiply.


So after completing the square, 4x%5E2%2B3x%2B1 transforms to 4%28x%2B3%2F8%29%5E2%2B7%2F16. So 4x%5E2%2B3x%2B1=4%28x%2B3%2F8%29%5E2%2B7%2F16.


So f%28x%29=4x%5E2%2B3x%2B1 is equivalent to f%28x%29=4%28x%2B3%2F8%29%5E2%2B7%2F16.


So the equation y=4%28x%2B3%2F8%29%5E2%2B7%2F16 is now in vertex form y=a%28x-h%29%5E2%2Bk where a=4, h=-3%2F8, and k=7%2F16