I need to solve for t
There are two ways, completing the square
and quadratic formula.
COMPLETING THE SQUARE:
Get all variable terms on the left and
the constant term on the right:
Divide through by the coefficient of
Multiply coefficient of t by
:
=
Square that:
Add 4/9 to both sides:
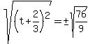
Factor left side, get LCD on the right:
Take square roots of both sides, remembering ± on the right
Add
to both sides:
Break up 76 by observing that it can
be divided by perfect square 4, so
76=4*19
So the two solutions are
and
==================================
QUADRATIC FORMULA
The solution to
is
with x=t, a=3, b=4, c=-24
Make two fractions:
Reduce the fractions by dividing top and bottom by 2:
So the two solutions are
and
Same answer.
Edwin