SOLUTION: X2-5x-14 4 _________ divided by ______ 8 x-7

Algebra ->  Quadratic Equations and Parabolas -> SOLUTION: X2-5x-14 4 _________ divided by ______ 8 x-7       Log On


   



Question 150928: X2-5x-14 4
_________ divided by ______
8 x-7

Answer by jim_thompson5910(35256) About Me  (Show Source):
You can put this solution on YOUR website!

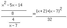
%28%28x%5E2-5x-14%29%2F%288%29%29%2F%28%284%29%2F%28x-7%29%29 Start with the given expression.


%28%28x%5E2-5x-14%29%2F%288%29%29%28%28x-7%29%2F%284%29%29 Multiply the first fraction %28x%5E2-5x-14%29%2F%288%29 by the reciprocal of the second fraction %284%29%2F%28x-7%29.


%28%28%28x%2B2%29%2A%28x-7%29%29%2F%288%29%29%28%28x-7%29%2F%284%29%29 Factor x%5E2-5x-14 to get %28x%2B2%29%2A%28x-7%29.


%28%28x%2B2%29%28x-7%29%28x-7%29%29%2F%28%288%29%284%29%29 Combine the fractions.


%28%28x%2B2%29%28x-7%29%5E2%29%2F%2832%29 Multiply and simplify


So %28%28x%5E2-5x-14%29%2F%288%29%29%2F%28%284%29%2F%28x-7%29%29 simplifies to %28%28x%2B2%29%28x-7%29%5E2%29%2F%2832%29.


In other words, where x%3C%3E7