SOLUTION: The equation x²+ px +4 = 0, where p and q are constants, has roots -1 and 4. a) Find the values of p and q. b) Using these values of p and q. find the value of r, where r is a

Algebra ->  Quadratic Equations and Parabolas -> SOLUTION: The equation x²+ px +4 = 0, where p and q are constants, has roots -1 and 4. a) Find the values of p and q. b) Using these values of p and q. find the value of r, where r is a       Log On


   



Question 1177572: The equation x²+ px +4 = 0, where p and q are constants, has roots -1 and 4. a) Find the values of p and q.
b) Using these values of p and q. find the value of r, where r is a constant, and the equation x² + px + r=0 has equal roots.

Found 3 solutions by greenestamps, MathLover1, ikleyn:
Answer by greenestamps(13200) About Me  (Show Source):
You can put this solution on YOUR website!


Faulty presentation of the problem -- there is no q in the original equation.


Answer by MathLover1(20850) About Me  (Show Source):
You can put this solution on YOUR website!
q is missing from given equation, so I assume you have+x%5E2%2B+px+%2B4q+=+0

a) Find the values of p and q.

use the rule: sum of the roots = -b%2Fa+
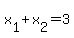
roots are -1 and 4, sum is -1%2B4=3
-b%2Fa+=3.........b=p, a=1
-p%2F1+=3
p=-3
and
product of the roots =+c%2Fa


c=4q, a=1
4q%2F1=%28-1%29%2A4
4q=-4
q=-1
+x%5E2-3x+-4+=+0

b) Using these values of p+and q find the value of r, where r is a constant, and the equation
x%5E2%2B+px+%2B+r=0 has equal roots
p=-3
x%5E2-3x+%2B+r=0.....if equation has equal roots, write left side as square of difference
sum of the roots -b%2Fa+=-%28-3%29%2F1+=3
x%5B1%5D%2Bx%5B2%5D=3..............eq.1. since x%5E2%2B+px+%2B+r=0 has equal roots, x%5B1%5D=x%5B2%5D
2x%5B1%5D=3
x%5B1%5D=3%2F2
product of the roots =+c%2Fa=r%2F1=r
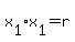
x%5B1%5D%2Ax%5B1%5D=r..............eq.2
%283%2F2%29%2A%283%2F2%29=r
r=9%2F4
and your equatio is:
x%5E2-3x+%2B+9%2F4=0

Answer by ikleyn(52794) About Me  (Show Source):
You can put this solution on YOUR website!
.

        How @MathLover1 treats this problem,  is  OUT  of the  HUMAN's  understanding.


The only way to treat it  CORRECTLY,  is to note to the visitor that his  (or her)  post is  DEFECTIVE,
since it  DOES  NOT  contain  q.


That is all.


The rest are  @MathLover1 fantasies.