SOLUTION: The product of (2x - 1)(x + 6) is:?
Algebra
->
Quadratic Equations and Parabolas
-> SOLUTION: The product of (2x - 1)(x + 6) is:?
Log On
Quadratics: solvers
Quadratics
Practice!
Practice
Answers archive
Answers
Lessons
Lessons
Word Problems
Word
In Depth
In
Click here to see ALL problems on Quadratic Equations
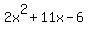
Question 1135639
:
The product of (2x - 1)(x + 6) is:?
Answer by
MathLover1(20850)
(
Show Source
):
You can
put this solution on YOUR website!
=
=
=