SOLUTION: how to write a quadratic equation with the roots 4 and -4 with the coefficient of 5.
Algebra
->
Quadratic Equations and Parabolas
-> SOLUTION: how to write a quadratic equation with the roots 4 and -4 with the coefficient of 5.
Log On
Quadratics: solvers
Quadratics
Practice!
Practice
Answers archive
Answers
Lessons
Lessons
Word Problems
Word
In Depth
In
Click here to see ALL problems on Quadratic Equations
Question 1059331
:
how to write a quadratic equation with the roots 4 and -4 with the coefficient of 5.
Answer by
ikleyn(52794)
(
Show Source
):
You can
put this solution on YOUR website!
.
how to write a quadratic equation with the roots 4 and -4 with the
coefficient of 5.
~~~~~~~~~~~~~~~~~~~~~~~~
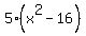
f(x) = 5*(x-4)*(x+4) =
=
.