SOLUTION: Good Morning appreciated tutors,
This question is from the McDougal Littell Algebra ISBN 0-395-93776-0 book. Page 689, question# 5.
Suppose you are 14 years old and your brother
Algebra ->
Quadratic Equations and Parabolas
-> SOLUTION: Good Morning appreciated tutors,
This question is from the McDougal Littell Algebra ISBN 0-395-93776-0 book. Page 689, question# 5.
Suppose you are 14 years old and your brother
Log On
Question 1048527: Good Morning appreciated tutors,
This question is from the McDougal Littell Algebra ISBN 0-395-93776-0 book. Page 689, question# 5.
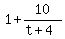
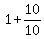
Suppose you are 14 years old and your brother is 4 years old. In t years, your age will be 14 + t. What will your brother's age be? Write the ratio of your age in t years to your brother's age in t years. Then use long division to rewrite this ratio. The long division to rewrite the ratio is where I am stumped. I got this far:
14 + t over 4 + t ...I cannot figure out how to divide a binomial that does not have a squared exponent in its leading coefficient. Please help! Also, the last part of the problem asks to use the rewritten ratio to find the ratio of the ages for various years. Please help! Thank you Answer by ewatrrr(24785) (Show Source):