SOLUTION: Given g(x) = 1/(4(x-5)^2 -1). For what value of x is function g undefined? My attempt: I take this to mean "for what value of x does the denominator = 0." Assuming that's correc

Algebra ->  Quadratic Equations and Parabolas -> SOLUTION: Given g(x) = 1/(4(x-5)^2 -1). For what value of x is function g undefined? My attempt: I take this to mean "for what value of x does the denominator = 0." Assuming that's correc      Log On


   



Question 1006597: Given g(x) = 1/(4(x-5)^2 -1). For what value of x is function g undefined?
My attempt: I take this to mean "for what value of x does the denominator = 0." Assuming that's correct, I set the denominator equal to 0. I get a quadratic equation. I plug the coefficients into the quadratic formula, but I do NOT get the correct answer, which is supposed to equal 4 and 1/2.
I think I'm not doing the order of operations right in converting the denominator into the quadratic formula.
I won't belabor you with all my different attempts. Could someone show me how the math should go? The other answer choices are 5 and 1/4, 5, and 1. I did get to 5 and 1/4, but I do think that's wrong mathematically.
Thank you.

Found 2 solutions by jim_thompson5910, josgarithmetic:
Answer by jim_thompson5910(35256) About Me  (Show Source):
You can put this solution on YOUR website!
There's no need to use the quadratic formula since that would require us to expand/simplify the left side. It's more work than needed in my opinion.


Since it's in vertex form, we can isolate x to get


4%28x-5%29%5E2+-1=0


4%28x-5%29%5E2+-1%2B1=0%2B1 Add 1 to both sides


4%28x-5%29%5E2=1


%281%2F4%29%2A4%28x-5%29%5E2=%281%2F4%29%2A1 Multiply both sides by 1/4


%28x-5%29%5E2=1%2F4


sqrt%28%28x-5%29%5E2%29=sqrt%281%2F4%29 Apply the square root to both sides


abs%28x-5%29=sqrt%281%2F4%29 Use the rule sqrt%28x%5E2%29+=+abs%28x%29 where x is any real number


x-5=1%2F2 or x-5=-1%2F2 Split up the absolute value into the plus/minus components


x-5%2B5=1%2F2%2B5 or x-5%2B5=-1%2F2%2B5 For each equation, add 5 to both sides


x+=+1%2F2%2B10%2F2 or x+=+-1%2F2%2B10%2F2


x+=+11%2F2 or x+=+9%2F2


-------------------------------------------


So the two solutions to 4%28x-5%29%5E2+-1=0 are...


x+=+11%2F2 or x+=+9%2F2

------------------------------------------


So g(x) is undefined when x+=+11%2F2 or x+=+9%2F2

Side Notes:
4+%26+1%2F2+=+9%2F2
5+%26+1%2F2+=+11%2F2

Answer by josgarithmetic(39618) About Me  (Show Source):
You can put this solution on YOUR website!
Look for the zeros of the denominator, the values of x which make the denominator 0. This you
can do easily because the denominator is a quadratic expression in standard form.

The solution to 4%28x-5%29%5E2-1=0 will be the values of x for which the function g(x) is undefined.

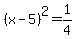
4%28x-5%29%5E2=1
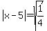
%28x-5%29%5E2=1%2F4
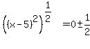
%28%28x-5%29%5E2%29%5E%281%2F2%29=0%2B-+1%2F2
x-5=0%2B-+1%2F2
highlight%28x=5%2B-+1%2F2%29

4%261%2F2 and 5%261%2F2 are the values which are UNDEFINED for x in g.