SOLUTION: Parallel processing is the simultaneous use of more than one computer to run a program. Suppose one computer, working alone, takes 16 h longer than a second computer to run a progr

Algebra ->  Quadratic Equations and Parabolas -> SOLUTION: Parallel processing is the simultaneous use of more than one computer to run a program. Suppose one computer, working alone, takes 16 h longer than a second computer to run a progr      Log On


   



Question 1003593: Parallel processing is the simultaneous use of more than one computer to run a program. Suppose one computer, working alone, takes 16 h longer than a second computer to run a program. After both computers work together for 1 h, the faster computer crashes. The slower computer continues working for another 14 h before completing the program. How long would it take the faster computer, working alone, to run the program?
Answer by josmiceli(19441) About Me  (Show Source):
You can put this solution on YOUR website!
Let +t+ = time in hours for the faster
computer to run the program
+t+%2B+16+ = time in hours for the
slower computer to run the program
---------------------------------
Faster computer's rate:
[ 1 program ] / [ t hrs ] = +1%2Ft+
Slower computer's rate:
[ 1 program ] / [ t + 16 hrs ] = +1%2F%28+t%2B16+%29+
-------------------------------------
Let +x+ = the fraction of the program that
computers get done in 1 hour
Add their rates of computing to get their rate
working together to get:
[ x fraction of program done ] / [ 1 hr] = +x%2F1+
+1%2Ft+%2B+1%2F%28+t%2B16+%29+=+x%2F1+
--------------------------
The fraction of the job left to do is:
+1+-+x+
In the following 14 hours the slower computer
finishes the job, working at the rate:
+%28+1-x+%29+%2F+14+, so I can say:
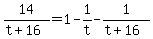
+1%2F%28+t+%2B+16+%29+=+%28%28+1+-+1%2Ft+-+1%2F%28+t%2B16+%29+%29%29+%2F+14+
+14%2F%28+t+%2B+16+%29+=+1+-+1%2Ft+-+1%2F%28+t%2B16+%29+
+15%2F%28+t+%2B+16+%29+=+1+-+1%2Ft+
Multiply both sides by +t%2A%28+t%2B16+%29+
+15t+=+t%2A%28+t%2B16+%29+-+t+-+16+
+15t+=+t%5E2+%2B+16t+-+t+-+16+
+t%5E2+=+16+
+t+=+4+
The faster computer, working alone, takes 4 hrs
to run the program
------------------
check answer:
+1%2Ft+%2B+1%2F%28+t%2B16+%29+=+x%2F1+
+x+=+1%2F4+%2B+1%2F20+
+x+=+5%2F20+%2B+1%2F20+
+x+=+3%2F10+
+1+-+x+=+7%2F10+
----------------
+1%2F%28+t+%2B+16+%29+=+%28%28+1+-+1%2Ft+-+1%2F%28+t%2B16+%29+%29%29+%2F+14+
+1%2F20+=+%28+7%2F10+%29%2F14+
+14%2F20+=+7%2F10+
+7%2F10+=+7%2F10+
OK