SOLUTION: (3x+11)/30=2x/5+7/10
Algebra
->
Proportions
-> SOLUTION: (3x+11)/30=2x/5+7/10
Log On
Algebra: Proportions
Section
Solvers
Solvers
Lessons
Lessons
Answers archive
Answers
Click here to see ALL problems on Proportions
Question 444623
:
(3x+11)/30=2x/5+7/10
Answer by
simranb(63)
(
Show Source
):
You can
put this solution on YOUR website!
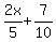
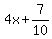
=
=
Now cross multiply
10(3x+11)=30(4x+7)
30x+110=120x+7
30x-120x=7-110
-90x=-113
x=-113/-90
x=113/90
hope this helps!