SOLUTION: Simplify the expression and eliminate any negative exponent(s). (xy^-6z^-1/x^4y^8z^-3)^-3

Algebra ->  Test -> SOLUTION: Simplify the expression and eliminate any negative exponent(s). (xy^-6z^-1/x^4y^8z^-3)^-3      Log On


   



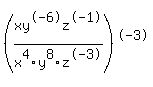
Question 991265: Simplify the expression and eliminate any negative exponent(s).
(xy^-6z^-1/x^4y^8z^-3)^-3

Answer by Alan3354(69443) About Me  (Show Source):
You can put this solution on YOUR website!
+%28xy%5E-6z%5E-1%2Fx%5E4y%5E8z%5E-3%29%5E-3
------
It's not important what you do first.
I'll apply the overall -3 exponent.
= +%28x%5E-3y%5E18z%5E3%2Fx%5E-12y%5E-24z%5E9%29
Multiply NUM and DEN by x^12
= +%28x%5E9y%5E18z%5E3%2Fy%5E-24z%5E9%29
Multiply NUM and DEN by y^24
= +%28x%5E9y%5E42z%5E3%2Fz%5E9%29
Multiply NUM and DEN by z^-3
= +%28x%5E9y%5E42%2Fz%5E6%29