SOLUTION: What type of conic is the following equation 9x^2+16y^2-144=0

Algebra ->  Test -> SOLUTION: What type of conic is the following equation 9x^2+16y^2-144=0      Log On


   



Question 987480: What type of conic is the following equation
9x^2+16y^2-144=0

Answer by macston(5194) About Me  (Show Source):
You can put this solution on YOUR website!
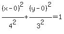
Form for ellipse:
.
%28x-h%29%5E2%2Fa%5E2%2B%28y-k%29%5E2%2Fb%5E2=1
.
9x%5E2%2B16y%5E2-144=0
x%5E2%2B%2816y%5E2%2F9%29-16=0
x%5E2%2F16%2By%5E2%2F9-1=0
%28x-0%29%5E2%2F4%5E2%2B%28y-0%29%5E2%2F3%5E2=1
.
ANSWER: An ellipse with center at origin.