SOLUTION: Which of the following points is not at a distance of 1 unit from the origin?
A (0,1)
B (1,0)
C (0,-1)
D (-1,0)
E (1,1)
Algebra ->
Test
-> SOLUTION: Which of the following points is not at a distance of 1 unit from the origin?
A (0,1)
B (1,0)
C (0,-1)
D (-1,0)
E (1,1)
Log On
Question 966993: Which of the following points is not at a distance of 1 unit from the origin?
A (0,1)
B (1,0)
C (0,-1)
D (-1,0)
E (1,1) Answer by Fombitz(32388) (Show Source):
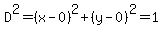
You can put this solution on YOUR website! Distance formula is
So if either x is 1 or y is 1, with the other coordinate equal to zero, you're good.
But both x and y cannot be one.