SOLUTION: find the fifth roots of i

Algebra ->  Test -> SOLUTION: find the fifth roots of i       Log On


   



Question 964603: find the fifth roots of i
Answer by Fombitz(32388) About Me  (Show Source):
You can put this solution on YOUR website!
0%2B1i=cos%2890%29%2Bi%2Asin%2890%29
So, then using DeMoivre's theorem,

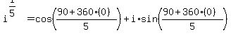
i%5E%281%2F5%29=cos%2818%29%2Bi%2Asin%2818%29
.
.

i%5E%281%2F5%29=cos%2890%29%2Bi%2Asin%2890%29
i%5E%281%2F5%29=i
.
.

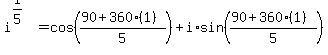
i%5E%281%2F5%29=cos%28162%29%2Bi%2Asin%28162%29
.
.

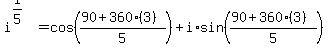
i%5E%281%2F5%29=cos%28234%29%2Bi%2Asin%28234%29
.
.

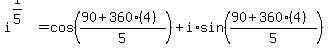
i%5E%281%2F5%29=cos%28306%29%2Bi%2Asin%28306%29
.
.