Question 888059: In California, the distance from Jackson to Lodi is about 40 mi as is the distance from Lodi to Manteca. Rico drove from Jackson to Lodi during the rush hour, stopped in Lodi for a high energy drink, and then drove onto Manteca at 10 mph faster. Driving time for the entire trip was 88 min. Find his speed Jackson to Lodi.
Found 2 solutions by josgarithmetic, MathTherapy: Answer by josgarithmetic(39620) (Show Source): Answer by MathTherapy(10552) (Show Source):
You can put this solution on YOUR website!
In California, the distance from Jackson to Lodi is about 40 mi as is the distance from Lodi to Manteca. Rico drove from Jackson to Lodi during the rush hour, stopped in Lodi for a high energy drink, and then drove onto Manteca at 10 mph faster. Driving time for the entire trip was 88 min. Find his speed Jackson to Lodi.
Let speed from Jackson to Lodi be S
Then speed from Lodi to Manteca is: S + 10
Time taken to travel from Jackson to Lodi is: 
Time taken to travel from Lodi to Manteca is: 
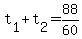
Since time taken to complete the journey, ignoring time spent during stop in Lodi, was 88 mins, or hrs,
then we can say that: 
Solve for S, his speed from Jackson to Lodi.
Then do a check!!
If you need a complete and detailed solution, let me know!!
Send comments, “thank-yous,” and inquiries to “D” at MathMadEzy@aol.com.
Further help is available, online or in-person, for a fee, obviously.
For FREE info and answers to questions about the ASVAB exam, the NYS 3 – 8 city/state wide exams,GENERAL
MATH and HOMEWORK QUESTIONS, or MATH QUESTIONS related to the Regents Integrated Algebra,
Regents Geometry, Regents Algebra 2/Trigonometry, SHSAT, COOP/HSPT/TACHS, PSAT, SAT, ACT, SSAT/ISEE,
GRE, CLEP, and the TASC/GED, you can visit: http://asvabstudyzone.freeforums.net/.
|
|
|