SOLUTION: A rectangle is placed around a semicircle. The length of the rectangle is 18yd. Find the area of the shaded region.The shaded region is the surrounding area, it is inside the r

Algebra ->  Test -> SOLUTION: A rectangle is placed around a semicircle. The length of the rectangle is 18yd. Find the area of the shaded region.The shaded region is the surrounding area, it is inside the r      Log On


   



Question 884610: A rectangle is placed around a semicircle. The length of the rectangle is 18yd.
Find the area of the shaded region.The shaded region is the surrounding area, it is inside the rectangle, but outside the semicircle. The shaded region is basically the non connecting parts of the semicircles perimeter to the rectangle.
Use the value 3.14 for Pi , and do not round your answer. Be sure to include the correct unit in your answer.





Answer by josgarithmetic(39666) About Me  (Show Source):
You can put this solution on YOUR website!
Your description may be like this:

Length of rectangle may be 18 yard diameter of the semicircle. The width would be of the rectangle, 9 yards same as the radius of the semicircle.

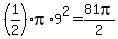
Area of the semicircle: %281%2F2%29pi%2A9%5E2=81pi%2F2.
Total area of the rectangle: 18%2A9=162.
Area in rectangle NOT in the semicircle: highlight%28162-81pi%2F2%29 or equivalent in form or value.