SOLUTION: How can I find the product of two consecutive integers if the smaller is x+1?
Algebra
->
Test
-> SOLUTION: How can I find the product of two consecutive integers if the smaller is x+1?
Log On
Test Calculators and Practice
Test
Answers archive
Answers
Word Problems
Word
Lessons
Lessons
Click here to see ALL problems on test
Question 882914
:
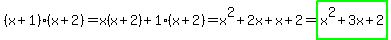
How can I find the product of two consecutive integers if the smaller is x+1?
Answer by
Fombitz(32388)
(
Show Source
):
You can
put this solution on YOUR website!
If the smaller is
, then the next one is